Normal distribution is a continuous probability distribution. It is also called Gaussian distribution.
The normal distribution density function f(z) is called the Bell Curve because it has the shape that resembles a bell.
Standard normal distribution table is used to find the area under the f(z) function in order to find the probability of a specified range of distribution.
Normal distribution function
When random variable X has normal distribution,
![]()
![]()
![]()
The probability density function and cumulative distribution function of the normal distribution:
Probability density function (pdf)
The probability density function is given by:
X is the random variable.
μ is the mean value.
σ is the standard deviation (std) value.
e = 2.7182818… constant.
π = 3.1415926… constant.
Cumulative distribution function
The cumulative distribution function is given by:
X is the random variable.
μ is the mean value.
σ is the standard deviation (std) value.
e = 2.7182818… constant.
π = 3.1415926… constant.
Standard normal distribution function
When ![]()
![]()
![]()
Then the probability density function and cumulative distribution function of the standard normal distribution:
Probability density function

Cumulative distribution function

In probability and statistics distribution is a characteristic of a random variable, describes the probability of the random variable in each value.
Each distribution has a certain probability density function and probability distribution function.
Though there are indefinite number of probability distributions, there are several common distributions in use.
Cumulative distribution function
The probability distribution is described by the cumulative distribution function F(x),
which is the probability of random variable X to get value smaller than or equal to x:
F(x) = P(X ≤ x)
The cumulative distribution function F(x) is calculated by integration of the probability density function f(u) of continuous random variable X.

The cumulative distribution function F(x) is calculated by summation of the probability mass function P(u) of discrete random variable X.

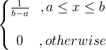
Continuous distribution is the distribution of a continuous random variable
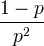
Continuous distributions table
fX(x)
μ = E(X)
σ2 = Var(X)
X ~ N(μ,σ2)
X ~ U(a,b)
x > 0, c > 0, λ > 0
X ~χ 2(k)

k
2k
X ~ F (k1, k2)
X ~ LN(μ,σ2)
Discrete distribution is the distribution of a discrete random variable.
Discrete distributions table
fx(k) = P(X=k)
k = 0,1,2,…
λ ≥ 0
N = 0,1,2,…
K = 0,1,..,N
n = 0,1,…,N